반응형
얼음 위에 있으면 잘 미끄러지는 이유는 뭘까??
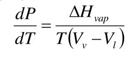
클라이페이론 방정식에 대해서 접근을 해봤다.

얼음에 미끄러지려면 얼음 위에
무게가 있는 물체가 있어야한다.
clapeyron equation을 보면 P(압력)이
올라가면 T(온도)도 올라가야하며
온도가 올라가면 얼음이 녹아
얼음 위에서 잘 미끄러져야한다고 추론할 수 있다.
그럴사 하지만 이는 완전히 잘못된 추론이다.
위의 식은 Bulk에만 해당된다.
실제로 압력이 높아지더라도 얼음이 녹을만큼의
온도가 올라가지 않는다.
그럼 얼음 위에 미끄러지는 것을 어떻게 해석할까?
바로 계면 surface 접근이 필요하다.
bulk와 surface는 다르다.
얼음의 경우 surface의 녹는점은 매우 낮다.
그렇기 때문에 잘 미끄러지는 얼음의
경우 그 표면은 녹아 있는 것이다.
대부분의 계면은 bulk보다 녹는점이 낮다.
물의 삼중점 음수 기울기를 갖는 이유는?
물과 얼음의 부피 밀도 클라이페이론 방정식
물과 얼음의 밀도 차이를 아시나요? 대부분의 경우 고체 보다 액체가 부피가 더 크지만 희한하게 물은 고체가 더 부피가 크다. 즉 얼음이 액체보다 부피가 커 밀도가 낮다. clapeyron equation 물이 얼
universitystudent.tistory.com
반응형
'재료 > 계면공학' 카테고리의 다른 글
| 쇼트키 결함, interstitial(침입형) 고체 내의 결함 (0) | 2021.04.26 |
|---|---|
| rotation(회전)에서 1, 2, 3, 4, 6 fold의 회전만 갖는 이유 (0) | 2021.04.09 |
| 모세관 현상 물이 아닌 수은(Hg) 계면에너지로 설명 (0) | 2021.04.01 |
| 모세관 현상에 계면에너지와 압력에 관해서 (0) | 2021.04.01 |
| 물과 얼음의 부피 밀도 클라이페이론 방정식 (0) | 2021.03.06 |
댓글