반응형
물과 얼음의 밀도 차이를 아시나요?
대부분의 경우 고체 보다 액체가 부피가
더 크지만 희한하게 물은 고체가 더 부피가 크다.
즉 얼음이 액체보다 부피가 커 밀도가 낮다.
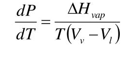
clapeyron equation

물이 얼때 부피가 커지기 때문에
클라이페이론 방정식은 음수가 된다.

그렇기 때문에 고체에서 액체가 될때나
액체에서 고체가 될때 위와 같은
음수의 기울기를 갖는다,
반응형
'재료 > 계면공학' 카테고리의 다른 글
| 쇼트키 결함, interstitial(침입형) 고체 내의 결함 (0) | 2021.04.26 |
|---|---|
| rotation(회전)에서 1, 2, 3, 4, 6 fold의 회전만 갖는 이유 (0) | 2021.04.09 |
| 모세관 현상 물이 아닌 수은(Hg) 계면에너지로 설명 (0) | 2021.04.01 |
| 모세관 현상에 계면에너지와 압력에 관해서 (0) | 2021.04.01 |
| 얼음 위에서 잘 미끄러지는 이유는? 물 클라이페이론, 계면공학 (0) | 2021.03.06 |
댓글